



AKPEROX CAT K W50 can be applied as an initiator for the suspension polymerization of vinyl chloride in the temperature range between 50°C and 70°C.
Chemical Name | |||
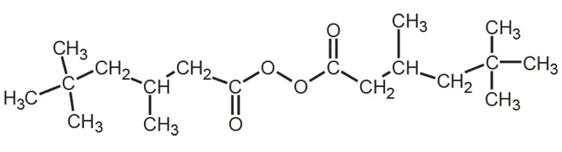
Di(3,5,5-trimethylhexanoyl) peroxide 50 % in water and methanol | |||
CAS | UN | EINECS/ELINCS Nr | ACRYONM |
3851-87-4 | 3119 | 223-356-0 | INP |
AO (%) | ASSAY (%) | SADT | VISCOSITY (@0°C) |
2,50 - 2,60 % | - | 25°C | 100-2000 mPa.s |
DENSITY (@0°C) | METAL CONTENT | SOLID CONTENT | PEROXIDE CONTENT |
0,960 ± 0,005 gr/cm3 | - | - | 49,0 - 51,0 % |
DILUENT | APPEARANCE | COLOR | STORAGE TEMPERATURE |
Isododecane | - | White | 0°C and - 22°C. |
PE PAIL | CARTON | BARREL | SHELF LIFE |
25 Kgs | - | - | 3 M |
PROPERTIES | |||
Recommended to be used 1% - 3% in general, according to climate conditions and product formulation. |
As AKPA Kimya Ambalaj Sanayi ve Ticaret A.Ş., we place utmost importance on the security of your personal data. With this awareness, we attach great importance to processing and preserving all kinds of personal data belonging to individuals associated with the Company, including those benefiting from our products and services, in accordance with the Law on Protection of Personal Data No. 6698 ("GDPR"). As Data Controller with full awareness of this responsibility, we process your personal data within the framework of the limits prescribed by legislation as explained below.
The privacy of your personal life and the protection of fundamental rights and freedoms are our fundamental principles during the use of your personal data in our services.
Purposes of processing your personal data and legal grounds:
Within the scope of the laws and relevant regulations to which our company is subject, your personal data such as identity information, address, telephone number, tax number, and other information, which are considered as personal data within the scope of the GDPR, are processed in accordance with the GDPR to be used in the services to be provided to you, to perform our services, to determine the owner and addressee of all kinds of transactions and transactions to be realized within this scope, to keep records of information and documents that will be the basis for transactions and transactions to be carried out on paper or electronically, to comply with the information storage, reporting, and notification obligations prescribed for all judicial and administrative competent authorities in accordance with the relevant legislation, to perform our services within the scope of the laws we are subject to, and to offer other services provided or requested by our company.
In case one of the conditions listed below in the 2nd paragraph of Article 5 of the GDPR titled "Conditions for Processing of Personal Data" exists, processing of personal data without explicit consent of the relevant person is possible:
Explicitly prescribed by the laws.
It is mandatory for the protection of life or physical integrity of the person or someone else who is unable to express consent due to actual impossibility or whose consent is not legally valid.
Transfer of Your Personal Data:
Even if there is no explicit consent of the personal data subject, personal data may be transferred to third parties by our Company under the conditions specified below, with due care and necessary security measures taken, including the methods prescribed by the Board.
Clearly prescribed in the laws regarding the transfer of personal data,
It is directly related and necessary for the conclusion or performance of a contract for the transfer of personal data by the Company,
In addition to the above, personal data may be transferred to foreign countries ("Adequate Countries") declared to have adequate protection by the Board if any of the above conditions exist. If adequate protection is not available, personal data may be transferred to foreign countries ("Countries where the Data Controller Providing Adequate Protection is Located") where data controllers in Turkey and the relevant foreign country provide adequate protection in writing and with the permission of the Board, in accordance with the data transfer conditions prescribed in the legislation.
Deletion, Destruction, or Anonymization of Personal Data:
a. Personal data is deleted, destroyed, or anonymized by the data controller ex officio or upon the request of the data subject if the reasons requiring processing despite being processed in compliance with this Law and other relevant laws cease to exist.
b. Provisions of other laws regarding the deletion, destruction, or anonymization of personal data are reserved.
c. Procedures and principles regarding the deletion, destruction, or anonymization of personal data are regulated by regulation.
Your rights under Article 11 of the Law:
By applying to our Company, you have the right to;
Learn whether your personal data has been processed,
Data Controller to whom you can apply under the Law:
CONTACT INFORMATION
AKPA Kimya Ambalaj Sanayi ve Ticaret A.Ş.
Contact Link: www.akpakimya.com
Yenibosna Central Neighborhood Ladin Street No:36/70 Townofis Floor: 12 34197
Bahçelievler, İstanbul, Turkey
Phone: +90(212) 580 55 59
Email: info@akpakimya.com
Lütfen, belgeyi indirmek için formu doldurun
En kısa sürede belge mail olarak tarafınıza iletilecektir
Search