120-170°C sıcaklık aralığında doymamış polyester reçine esaslı formülasyonların (SMC, DMC, BMC vb.) sertleştirilmesi için kullanılır. Daha düşük işlemede polimerlerin ve elastormerlerin daha hızlı çapraz bağlanmasını sağlar.
| Nombre Químico | |||
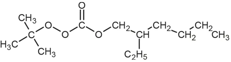
| Tert-Butyl Peroxy 2-Ethylhexyl Carbonate | |||
| CAS | |||
| 34443-12-4 | |||
| CARACTERÍSTICAS | |||
|
120-170°C sıcaklık aralığında doymamış polyester reçine esaslı formülasyonların (SMC, DMC, BMC vb.) sertleştirilmesi için kullanılır. Daha düşük işlemede polimerlerin ve elastormerlerin daha hızlı çapraz bağlanmasını sağlar. |
En AKPA Kimya Ambalaj Sanayi ve Ticaret A.Ş., damos la máxima importancia a la seguridad de sus datos personales. Con esta conciencia, nos comprometemos a procesar y preservar todos los datos personales de las personas relacionadas con la empresa, incluidos aquellos que utilizan nuestros productos y servicios, de acuerdo con la Ley de Protección de Datos Personales No. 6698 ("Ley de AEPD") de manera legal y segura. Como Responsable de Datos, procesamos sus datos personales dentro de los límites establecidos por la legislación, con plena conciencia de esta responsabilidad.
La privacidad de su vida personal y la protección de sus derechos y libertades fundamentales son nuestros principios básicos durante el uso de sus datos personales en nuestros servicios.
Propósitos y bases legales del procesamiento de sus datos personales:
Dentro del marco de las leyes y regulaciones pertinentes en los que opera nuestra empresa, utilizamos sus datos personales, como su información de identidad, dirección, número de teléfono, número de impuestos y otros datos calificados como datos personales dentro del ámbito de la Ley de AEPD, para proporcionarle servicios, realizar nuestras operaciones y actividades, identificar a las partes involucradas en cualquier transacción, registrar información y documentos necesarios para operaciones en papel o electrónicas, cumplir con las obligaciones de almacenamiento, presentación de informes y notificación a todas las autoridades competentes tanto administrativas como judiciales, llevar a cabo nuestros servicios dentro del marco de las leyes aplicables, y ofrecer otros servicios solicitados por nuestra empresa.
De acuerdo con el segundo párrafo del artículo 5 de la Ley de AEPD, el procesamiento de datos personales sin el consentimiento expreso del sujeto de datos es posible si se cumplen las siguientes condiciones:
1. Cuando esté expresamente previsto en la ley.
2. Cuando sea necesario para proteger la vida o la integridad física del sujeto de datos o de otra persona, y sea imposible obtener el consentimiento debido a la incapacidad física o legal de la persona en cuestión.
3. Cuando sea necesario para la ejecución o cumplimiento de un contrato del que el sujeto de datos sea parte o esté directamente relacionado con él.
4. Cuando sea necesario para que el responsable de los datos cumpla con sus obligaciones legales.
5. Cuando los datos sean públicos y revelados por el sujeto de datos.
6. Cuando sea necesario para el establecimiento, ejercicio o defensa de un derecho.
7. Cuando sea necesario para los intereses legítimos del responsable de los datos, siempre que no se perjudiquen los derechos y libertades fundamentales del sujeto de datos.
Transferencia de sus datos personales:
Sin el consentimiento explícito del sujeto de datos, los datos personales pueden ser transferidos a terceros por nuestra empresa si se cumplen una o más de las siguientes condiciones:
1. Cuando la transferencia de datos esté expresamente prevista en la ley.
2. Cuando la transferencia de datos por parte de la empresa sea necesaria para el establecimiento o ejecución de un contrato en el que el sujeto de datos sea parte o esté directamente relacionado.
3. Cuando la transferencia de datos sea necesaria para que nuestra empresa cumpla con sus obligaciones legales.
4. Cuando los datos personales sean públicos y se transfieran con el propósito de publicidad, siempre que se limite a este propósito.
5. Cuando la transferencia de datos sea necesaria para el establecimiento, ejercicio o defensa de un derecho.
6. Cuando sea necesario para los intereses legítimos de nuestra empresa, siempre que no se perjudiquen los derechos y libertades fundamentales del sujeto de datos.
7. Cuando sea necesario para proteger la vida o la integridad física del sujeto de datos o de otra persona, y sea imposible obtener el consentimiento debido a la incapacidad física o legal de la persona en cuestión.
Además de lo anterior, sus datos personales pueden ser transferidos a países extranjeros designados como "Países con Protección Suficiente" por la Junta de acuerdo con cualquiera de las condiciones anteriores. En ausencia de protección adecuada, los datos personales pueden transferirse a países extranjeros donde los responsables de datos en Turquía y en el país extranjero respectivo hayan garantizado por escrito una protección adecuada y se haya obtenido el permiso de la Junta.
Eliminación, destrucción o anonimización de datos personales:
a. Si bien los datos personales se han procesado de acuerdo con esta Ley y otras leyes relevantes, si las razones para el procesamiento ya no son válidas, los datos personales serán eliminados, destruidos o anonimizados de oficio por el responsable de los datos o a solicitud del sujeto de datos.
b. Se aplican las disposiciones sobre eliminación, destrucción o anonimización de datos personales establecidas en otras leyes.
c. Los procedimientos y principios para la eliminación, destrucción o anonimización de datos personales se regulan mediante reglamentos.
Sus derechos según el artículo 11 de la Ley:
Puede ejercer los siguientes derechos respecto a sus datos personales a través de una solicitud a nuestra empresa:
1. Aprender si sus datos personales han sido procesados.
2. Solicitar información si se han procesado.
3. Aprender el propósito del procesamiento y si se utiliza de acuerdo con su propósito.
4. Conocer a los terceros nacionales/extranjeros a los que se transfieren sus datos personales.
5. Solicitar la corrección si los datos personales están incompletos/incorrectos.
6. Solicitar la eliminación/anonimización de sus datos personales de acuerdo con las condiciones establecidas en el artículo de la Ley de AEPD sobre la eliminación de datos personales.
7. Solicitar que se notifique a los terceros a los que se transfirieron sus datos personales sobre las operaciones realizadas según los puntos (5) y (6) anteriores.
8. Oponerse a la obtención de un resultado en su contra debido al análisis exclusivamente automatizado de sus datos personales.
9. Si sus datos personales se procesan ilegalmente y esto le causa daño, puede solicitar la compensación de su daño.
Responsable de datos al que puede dirigirse en virtud de la Ley:
INFORMACIÓN DE CONTACTO
AKPA Kimya Ambalaj Sanayi ve Ticaret A.Ş.
Enlace de contacto: www.akpakimya.com
Yenibosna Centro Barrio Ladin Calle No:36/70 Townofis Planta:12 34197 Bahcelievler, Estambul, Turquía
Teléfono : +90(212) 580 55 59
Correo electrónico : info@akpakimya.com
Lütfen, belgeyi indirmek için formu doldurun
En kısa sürede belge mail olarak tarafınıza iletilecektir
Buscar